公司新闻
2023年乡村振兴国家补贴项目(一)【申报必备】
作者:中食展小编 来源:www.slalfood.com 时间:2023-04-14 15:44:02 阅读量:857
2023年,国家对乡村振兴战略提出了更高更具体的要求,提出要全面推进乡村振兴,并配套多项惠农项目和奖补资金,广大乡村迎来千载难逢的发展大机会!把握好政策红利,了解乡村振兴项目申报立项的绿色通道、补贴政策、申报材料、项目要求、认定标准等内容,对乡村发展、市场主体都是重要的机遇。
01
乡村振兴专项债
【分类】
(一)地方政府专项债券(省级地方政府发行)(二)“三农”专项金融债(商业银行发行)(三)乡村振兴公司债(四)乡村振兴票据
【申报流程】
项目主管部门和项目单位根据本行业事业发展规划、项目前期准备等情况筛选具备专项债发行条件的项目,分别通过财政部门“地方政府债务管理系统”和发改部门“国家重大项目库”,将项目需求逐级上报至财政部、国家发展改革委审核后,财政部、国家发展改革委将审核结果反馈至地方;
【支持领域】
02
中央财政衔接推进乡村振兴补助资金
【资金总额】
1650亿
【审批权限】
下放到县级,强化县级管理责任,县级可统筹安排不超过30%的到县衔接资金,支持非贫困村发展产业、补齐必要的基础设施短板及县级乡村振兴规划相关项目。
【使用范围】
(一)支持巩固拓展脱贫攻坚成果
1、健全防止返贫致贫监测和帮扶机制,加强监测预警,强化及时帮扶,对监测帮扶对象采取有针对性的预防性措施和事后帮扶措施。安排产业发展、小额信贷贴息、生产经营和劳动技能培训、公益岗位补助等支出。
2、“十三五”易地扶贫搬迁后续扶持。对规划内的易地扶贫搬迁贷款和调整规范后的地方政府债券按规定予以贴息补助。
3、外出务工脱贫劳动力(含监测帮扶对象)稳定就业,可对跨省就业的脱贫劳动力适当安排一次性交通补助。采取扶贫车间、以工代赈、生产奖补、劳务补助等方式。继续向符合条件的脱贫家庭(含监测帮扶对象家庭)安排“雨露计划”补助。
(二)支持衔接推进乡村振兴
1、支持农业品种培优、品质提升、品牌打造。支持必要的产业配套基础设施建设。支持脱贫村发展壮大村级集体经济。
2、补齐必要的农村人居环境整治和小型公益性基础设施建设短板。主要包括水、电、路、网等农业生产配套设施,垃圾清运等小型公益性生活设施。
3、实施兴边富民行动、人口较少民族发展、少数民族特色产业和民族村寨发展、困难群众饮用低氟边销茶,以工代赈项目,欠发达国有农场和欠发达国有林场巩固发展,“三西”地区农业建设。
(三)巩固拓展脱贫攻坚成果同乡村振兴有效衔接的其他相关支出。
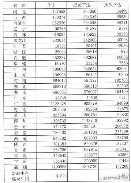
2023年中央财政衔接推进乡村振兴补助资金分配表
(单位:万元)
2023年中央财政衔接推进乡村振兴补助资金(激励资金)分配表
(单位:万元)
03
国家级农业产业强镇
【主管部门】
农业农村部乡村产业发展司
【申报时间】
每年3-4月
【申报主体】
县(市、区)级人民政府(乡镇人民政府为实施主体)
【激励政策】
1000万元资金支持(分2年奖补,第一年安排30%补助资金;第二年对达到建设标准的,安排后续奖补资金,对达不到建设标准的取消示范资格,不再安排奖补资金)
【项目要求】
1、主导产业应明确为1个优势明显的农业产业,东、中、西部地区镇域主导产业全产业链产值应分别达到2亿元、1.5亿元、1亿元(新疆、西藏及其它地区的已摘帽国家级贫困县可放宽条件)。
2、东、中、西部农产品加工业产值与农业产值比分别达到2∶1、1.8∶1、1.6∶1以上(对国家级贫困县,新疆维吾尔自治区、西藏自治区及新疆生产建设兵团不作要求)。
3、城关镇、开发区、街道办事处、国家现代农业产业园所在地不列入推荐范围。
4、中央财政通过以奖代补等方式对农业产业强镇示范建设予以适当支持,按照填平补齐的原则,集中用于扶持壮大乡土经济、乡村产业,推进产业融合发展,推动建立现代农业产业体系。
04
国家级现代农业产业园
【主管部门】
农业农村部发展规划司
【申报时间】
每年3-4月
【申报主体】
县(市、区)级人民政府
【激励政策】
1亿元资金支持(批准创建下发30%,通过中期评估安排30%,通过评价认定后下达剩余奖补资金)
【项目要求】
1、主导产业特色优势明显,原则上数量为1~2个,产值占产业园总产值的比重达50%以上。
2、规划布局科学合理,已制定产业园专项规划,形成园村一体、产村融合的格局。
3、建设水平区域领先,高标准农田占比较高,主要农作物耕种收综合机械化率高于本省平均水平,现代要素集聚能力强,生产经营体系完善。
4、绿色发展成效突出,生产标准化、经营品牌化、质量可追溯,产品优质安全,绿色食品认证比重较高。
5、带动农民作用显著,园区农民可支配收入原则上应高于当地平均水平的30%。
6、政策支持措施有力,政策含金量高,有针对性和可操作性。
7、组织管理健全完善,形成了产业园持续发展的动力机制。
上海中食展由商业发展中心主办,中国食品安全报社支持,京东超市协办,北京创享国际会展有限公司承办的2023上海国际食品和饮料展览会将于8月14-16日在上海世博展览馆召开。






